Špecifikácia nehnuteľnosti
Spoločnosť Slovak Estate s.r.o. ponúka na predaj spoluvlastnícke podiely na lesoch a spevnených plochách v katastrálnom území Hranovnica a Hozelec, okres Poprad.
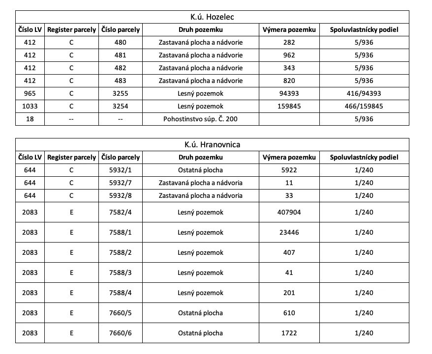
– Celková výmera predávaných podielov je 2.729,15 m2:
Výmera spoluvlastníckych podielov v k.ú. Hranovnica tvorí spolu 1.834,57 m2, pričom pozemky sú evidované na listoch vlastníctva č. 644 a 2083.
Výmera spoluvlastníckych podielov v k.ú. Hozelec tvorí spolu 894,58 m2, pričom pozemky sú evidované na listoch vlastníctva č. 412, 965, 1033 a 18, na ktorom je evidovaný podiel k budove „pohostinstvo“ súp. č. 200.
– Pozemky spravuje Pozemkové spoločenstvo „URBARIÁT HOZELEC, pozemkové spoločenstvo, IČO: 42091209“.
– Vyznačenie parciel na mapke a tabuľka predávaných pozemkov sa nachádza v galérii inzerátu, medzi fotografiami.
– Investičná príležitosť a zároveň možnosť stať sa podielnikom resp. členom v pozemkovom spoločenstve (urbariáte).
V cene je zahrnutý kompletný právny servis vrátane prípravy kúpnych zmlúv, vklad do katastra nehnuteľností a správne poplatky.
Máte otázku?
Spojte sa s predajcom tejto nehnuteľnosti, ktorý Vám ochotne poradí a zodpovie Vaše otázky
Kontaktovať predajcu