Špecifikácia nehnuteľnosti
Spoločnosť Slovak Estate s.r.o. ponúka na predaj spoluvlastnícke podiely na lesných pozemkoch v katastrálnom území Lazy pod Makytou, obec Lazy pod Makytou, okres Púchov.
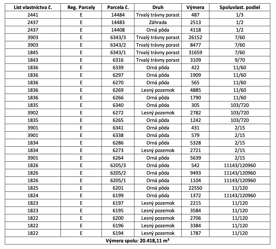
– Výmera spoluvlastníckych podielov tvorí spolu 20.418,11 m2, pričom pozemky sú na listoch vlastníctva vedené ako Orná pôda, Lesný pozemok, Záhrada.
– Parcely sú evidované na listoch vlastníctva č. 2441, 2437, 3903, 1845, 1843, 1836, 1835, 3902, 3901, 1834, 1826, 1825, 1824, 1823, 1822 pre katastrálne územie Lazy pod Makytou.
– Predávané pozemky sú vhodné pre poľnohospodárov, lesných hospodárov, prípadne ako investičné pozemky a do budúceho projektu komasácií (sceľovania pozemkov).
– Tabuľku a mapku predávaných pozemkov možno nájsť v galérii inzerátu.
– V cene je zahrnutý kompletný právny servis vrátane prípravy kúpnych zmlúv, vklad do katastra nehnuteľností a správne poplatky.
Máte otázku?
Spojte sa s predajcom tejto nehnuteľnosti, ktorý Vám ochotne poradí a zodpovie Vaše otázky
Kontaktovať predajcu