Špecifikácia nehnuteľnosti
INVESTIČNÁ PRÍLEŽITOSŤ V KATASTRÁLNOM ÚZEMÍ VYŠNÉ RASLAVICE! – pozemky v prebiehajúcej komasácii začatej v roku 2026 vhodné pre poľnohospodárov aj investorov!
Predpokladané ukončenie sceľovania pozemkov – rok 2033.
Spoločnosť Slovak Estate s.r.o. ponúka na predaj spoluvlastnícke podiely na poľnohospodárskej pôde v katastrálnom území Vyšné Raslavice, okres Bardejov.
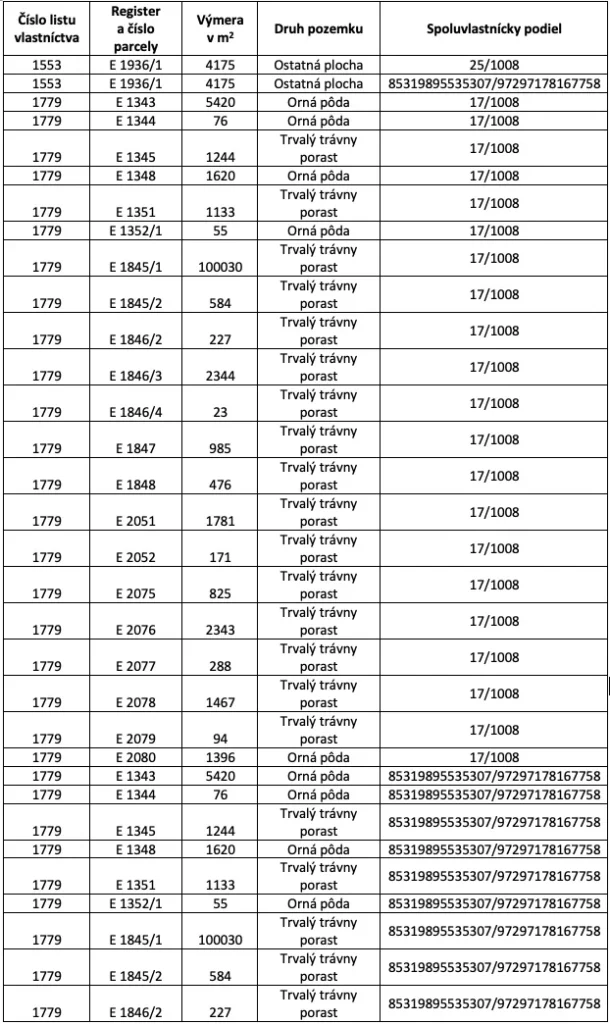
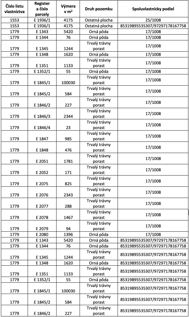
– Výmera predávaných spoluvlastníckych podielov tvorí celkom 113.324,12 m2. Pozemky sú evidované na listoch vlastníctva č. 1553 a 1779 pre katastrálne územie Vyšné Raslavice, okres Bardejov, pričom na listoch vlastníctva sú vedené ako Orná pôda a Trvalý trávny porast
– Predávané pozemky tvoria 90%-nú výšku spoluvlastníckeho podielu, a teda ich kúpou sa stanete majoritným vlastníkom.
– Pozemky sú vhodné pre poľnohospodárov, ako investičné pozemky a do prebiehajúceho projektu komasácií (sceľovania pozemkov).
KOMASÁCIE (sceľovanie pozemkov):
Na Slovensku prebieha štátny projekt, ktorý má za cieľ zjednotiť rozdrobené a neprehľadné vlastníctvo pôdy mimo miest a obcí (napr. lúky, lesy, orná pôda). Po ukončení komasácie každý vlastník získa svoje pozemky v jednom alebo viacerých súvislých celkoch, ktoré bude vlastniť vo výlučnom vlastníctve (1/1) so zabezpečeným právnym prístupom. Takýto pozemok sa potom ľahšie predáva, prenajíma či využíva.
Investícia do pôdy, aj formou spoluvlastníckych podielov, má preto dlhodobý potenciál rastu hodnoty – podobne ako pri iných nehnuteľnostiach.
– Tabuľku s predávanými parcelami možno nájsť v galérii inzerátu, medzi fotografiami.
– V cene je zahrnutý kompletný právny servis vrátane prípravy kúpnych zmlúv, vklad do katastra nehnuteľností a správne poplatky.
Máte otázku?
Spojte sa s predajcom tejto nehnuteľnosti, ktorý Vám ochotne poradí a zodpovie Vaše otázky
Kontaktovať predajcu