Špecifikácia nehnuteľnosti
INVESTIČNÁ PRÍLEŽITOSŤ V KATASTRÁLNOM ÚZEMÍ ZÁVAŽNÁ PORUBA A LIPTOVSKÝ JÁN! – pozemky v prebiehajúcej komasácii začatej v roku 2019 a 2025 vhodné pre poľnohospodárov aj investorov!
Predpokladané ukončenie sceľovania pozemkov – rok 2026 pre k.ú. Liptovský Ján a 2032 pre k.ú. Závažná Poruba.
Spoločnosť Slovak Estate s.r.o. ponúka na predaj spoluvlastnícke podiely lesov a pasienkov (urbáru) v katastrálnych územiach Závažná Poruba a Liptovský Ján, okres Liptovský Mikuláš.
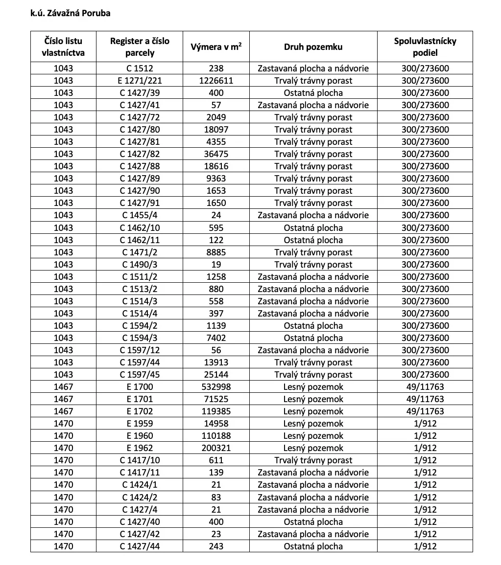
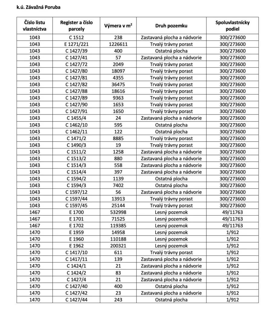
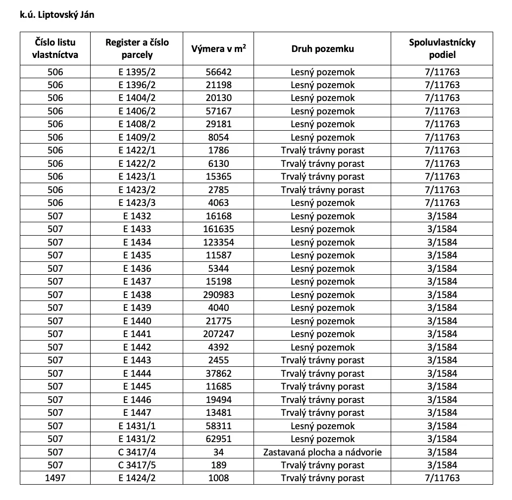
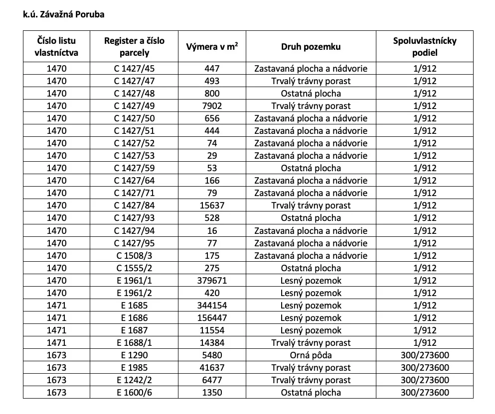
– Výmera spoluvlastníckych podielov tvorí celkom 10.647,32 m2, pričom pozemky sú evidované na listoch vlastníctva:
– 1043, 1467, 1470, 1471 a 1673 pre katastrálne územie Závažná Poruba, s prepočítanou výmerou 5.972,08 m2,
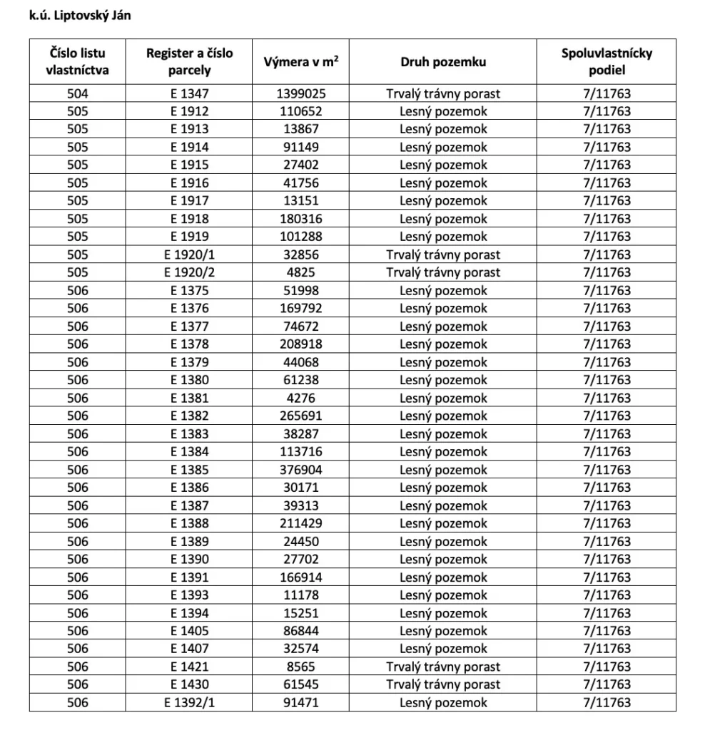
– 504, 505, 506, 507 a 1497 pre katastrálne územie Liptovský Ján, s prepočítanou výmerou 4.675,24 m2.
– Pozemky spravuje Urbár Závažná Poruba, p.s., IČO: 17066176.
– Mapa predávaných nehnuteľností je súčasťou fotogalérie.
– Investičná príležitosť a zároveň možnosť stať sa podielnikom resp. členom v pozemkovom spoločenstve (urbariáte), z ktorého plynú mnohé výhody, ako aj napríklad pravidelné vyplácanie dividend.
KOMASÁCIE (sceľovanie pozemkov):
Na Slovensku prebieha štátny projekt, ktorý má za cieľ zjednotiť rozdrobené a neprehľadné vlastníctvo pôdy mimo miest a obcí (napr. lúky, lesy, orná pôda). Po ukončení komasácie každý vlastník získa svoje pozemky v jednom alebo viacerých súvislých celkoch, ktoré bude vlastniť vo výlučnom vlastníctve (1/1) so zabezpečeným právnym prístupom. Takýto pozemok sa potom ľahšie predáva, prenajíma či využíva.
Investícia do pôdy, aj formou spoluvlastníckych podielov, má preto dlhodobý potenciál rastu hodnoty – podobne ako pri iných nehnuteľnostiach.
V cene je zahrnutý kompletný právny servis vrátane prípravy kúpnych zmlúv, vklad do katastra nehnuteľností a správne poplatky.
Máte otázku?
Spojte sa s predajcom tejto nehnuteľnosti, ktorý Vám ochotne poradí a zodpovie Vaše otázky
Kontaktovať predajcuLokalita
Vyznačenie presnej polohy pozemkov
